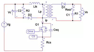
带RCD吸收的反激变换器等效电路及稳态工作波形如下:

图1 反激变换器等效电路

图2 稳态工作波形
磁化模态[t1-t2]、去磁模态[t5-t7]、振荡模态[t7-t8]在此不再赘述,而传输模态[t2-t5]是反激变压器能量从原边向次边转移的过程,分段线性化分析如下:

图3 t2-t3等效电路
开关管由导通转向关断,ip对Ceq充电,直到t3时刻,D1导通,该阶段结束,持续时间为


图4 t3-t4等效电路
由于D1导通,变压器原边被箝位在Vr,ip继续对Ceq充电,直到t4时刻,D2导通,该阶段结束


图5 t4-t5等效电路
Llk及部分Lp中的能量的向C2转移,由于D2导通时间较短,箝位电压可看为常数 Vcp,变压器原边电流为

直到t5时刻,ip(t)等于零,D1截止,该过程结束,持续的时间为

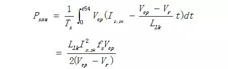
在一个开关周期内,仅在[t4-t5] 期间,箝位电容C2被充电,其余时间, C2对R2释放能量,RCD吸收电路的消耗能量由下式求得

上式可改写为

可见,RCD吸收损耗不仅包括漏感能量,还包含励磁能量。因而,减小变压器漏感Llk或提高箝位电压Vcp均可改善反激变换器效率。
3实验验证
12V2A电源采用集成690V Smart DMOS的多工作模式次边反馈芯片——PN8160,实验样机如下:

图6 12V2A电源实物图
EE19加厚变压器,分别采用TA(顺绕结构,变压器漏感42uH)和TB(三明治结构,变压器漏感24uH),其它电路参数相同,电源效率对比如下:


备注:不同变压器结构,分布电容差异较大,影响EMC特性。
实验结果与理论分析相吻合,由于漏感能量损耗与Ip,pk平方成正比,降低漏感可明显改善低压效率(约1%)。
RCD吸收分别采用参数A(C=1nF,R=82k)、参数B(C=1nF,R=390k),其它参数相同,电源效率对比如下:


备注:Vcp变化对EMC和开关管损耗有轻微影响。
实验结果与理论分析相吻合,由于励磁能量损耗与Vcp成反比,提高Vcp(即减轻RCD吸收)可明显改善多点转换效率。
Copyright © 2013 深圳市奥伟斯科技有限公司版权所有 All Right Reserved ICP备:粤ICP备12049165号